Advertisement

Banks in Ghana with the best interest rate

___8679810___2018___8___1___17___Banks-in-Ghana
___8679810___2018___8___1___17___Banks-in-Ghana
The Bank of Ghana base rate is a critical determinant of the lending/interest rate of commercial banks. A change in the BoG's policy rate changes the lending rate of commercial banks.
Advertisement

Interest rate is the amount of interest due per period, as a proportion of the amount lent, deposited or borrowed.

Advertisement

The total interest on an amount lent or borrowed depends on the principal sum, the interest rate, the compounding frequency, and the length of time over which it is lent, deposited or borrowed.

Interest is simply the cost of borrowing money typically expressed as an annual percentage of the loan.

For savers it is effectively the rate your bank will pay you for borrowing your money. The money you earn on your savings is called interest.

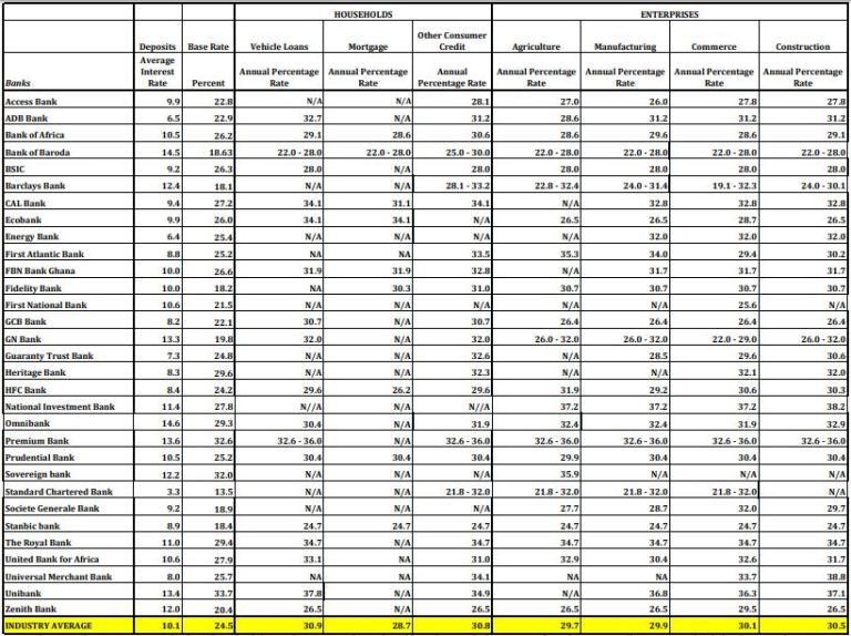
Before we go ahead to reveal the interest rate of banks in the country, it is important to note that, the Bank of Ghana sets the bank rate (or ‘base rate’) for all commercial banks in Ghana. The current rate is 14.5%.

Advertisement

This 14.5% rate can influence the interest rates set by financial institutions such as banks. If the base rate goes up, it’s likely lenders may want to charge more as the cost of borrowing increases. This works in exactly the same way for savers. 

Following the banking sector cleanup in 2017/2018, Ghana currently has 23 commercial banks.

The table below shows the various interest rates commercial banks pay on deposits or charge on loans. Published by the Bank of Ghana, these are updated rates as of February 28, 2018.

banks-interest-rates-February-2018
banks-interest-rates-February-2018

Note:

Advertisement

Average interest rate on deposits is the average interest paid by banks on deposits over the period.

Base rate reflects the minimum interest rate that can be charged on loans and advances.

APR (annual percentage rate) is the true interest rate financial institutions charge the public on loans and advances. It indicates the true cost of borrowings and includes charges and commissions levied by banks.

Advertisement